抛体运动

曲线运动

轨迹是曲线的运动是曲线运动,做曲线运动的物体,速度的方向在不断发生变化
割线 过曲线上两点做的直线
切线 两点非常近的割线
质点在某一点的速度方向,沿曲线在这一点的切线方向
曲线运动是变速运动,速度方向时刻改变,加速度不一定为0,合力不一定为0
当物体所受合力的方向与它速度的方向不在同一直线上时,物体做曲线运动

合成分解

运动的合成 由分运动求合运动的过程
运动的分解 由合运动求分运动的过程
小船模型
最短时间垂直于岸边运动
最短位移合速度垂直于岸边或速度与合速度垂直

实验:探究平抛运动的特点

抛体运动 以一定速度将物体抛出,在空气阻力可以忽略的情况下,物体只受重力作用的运动
平抛运动 初速度方向沿水平方向的抛体运动
实验 说明物体在竖直方向上做自由落体运动
检验轨道末端水平可以将小球放在端口任意位置处观察是否滚动

抛体运动

规律 规律 规律 常见模型 模型 模型 模型

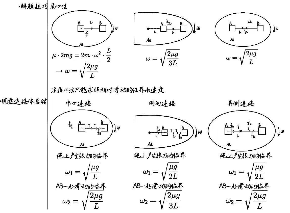
圆周运动

圆周运动

线运动v 弧长与时间之比 v=△s/△t或v=wr
角运动w 角度与时间之比 w=△角度/△t或w=2派/T
周期T 运动一周所用时间 T=1/n
转速n 转动圈数与时间之比 n=r/s
频率f f(hz)=1/T

向心力

做匀速圆周运动的物体所受的合力,指向圆心,速度大小不改变,合力只改变速度的发现,向心力根据力的作用效果命名
F=m(w^2)r=m(v^2)/r

向心加速度

物体做匀速圆周运动时的加速度总指向圆心,叫向心加速度
a=(v^2)/r=(w^2)r

生活中的圆周运动

模型 模型 模型 模型 模型 离心运动 向心力突然消失或合力不足以提供所需的向心力使物体远离圆心

万有引力与宇宙航行

行星运动

开普勒第一定律(轨道定律) 所有行星绕太阳运动的轨道都是椭圆,太阳处在椭圆的一个焦点上
开普勒第二定律(面积定律)对任意一个行星来说,它与太阳的连线在相等的时间内扫过的面积相等
开普勒第三定律(周期定律) 所有行星轨道的半长轴的三次方跟它的公转周期的二次方的比都相等
行星的轨道与圆十分接近,在中学阶段的研究中我们可按圆轨道处理, 这样就可以说行星绕太阳运动的轨道十分接近圆,太阳处在圆心, 对某一行星来说,它绕太阳做圆周运动的角速度(或线速度)大小不变,即行星做匀速圆周运动。 所有行星轨道半径r的三次方跟它的公转周期T的次方的比值都相等

万有引力

万有引力

宇宙航行

宇宙航行

人造卫星

人造卫星 人造卫星

变轨

变轨

相对论与牛顿力学

相对论与牛顿力学

机械能守恒定律

功与功率

图片 功是能量变化的量度 机车启动 车

势能

图片

动能

图片 流体模型 P=(1/2)ρΠ(r^2)(v^3)

机械能守恒

图片 图片

实验:验证机械能守恒定律

图片